Technical Article
-
Achieving Private Audio in Open-Ear AI Wearables
Executive Summary
The integration of AI assistants' eyewear faces a critical hurdle: acoustic privacy. Conventional open-ear speakers act as miniature omnidirectional broadcast towers, allowing bystanders to overhear sensitive AI responses, text readings, or navigation cues. This "sound leakage" is a fundamental security flaw for personal AI devices.
This report details a proprietary acoustic architecture designed to solve this challenge. By utilizing Dipole Phase Cancellation technology, we have engineered a micro-speaker system that concentrates sound pressure levels (SPL) in the near-field (the user's ear) while actively suppressing sound transmission in the far-field (the bystander zone). Simulations confirm a significant "Privacy Index" improvement, ensuring that AI interactions remain secure personal experiences, not public broadcasts.
1. The Privacy Challenge: The Open-Ear Paradox
To ensure user safety and comfort during all-day wear, AI glasses must remain "open-ear," allowing ambient environmental sounds to be heard. However, physics dictates that small drivers in open space tend to radiate sound equally in all directions at low-to-mid frequencies.
For an AI device, this is unacceptable. An assistant reading a confidential email or health notification must be audible only to the wearer. The design challenge is therefore to break the relationship between loudness at the ear and loudness at a distance. We must create a steep "acoustic decay curve."
The Goal: Achieve a target SPL of at least 85 dB at the user's ear (for clear intelligibility), while maintaining less than 45 dB SPL at a 0.5-meter distance (ambient background noise level).
2. The Solution: Dipole Phase Cancellation Physics
We abandoned the traditional "monopole" speaker design (which radiates sound outward like a sphere) in favor of a dipole architecture.
A dipole source consists of two acoustic ports radiating sound that is 180 X out of phase.
2.1 The Primary Port (Speaker Face): Fires positive pressure waves directly the user's ear canal.
2.2 The Secondary Port (Rear Vent): Fires negative pressure waves away from the ear.
How it creates silence: When these two opposing sound waves meet in the open air away from the device, they destructively interfere with each other. The positive peak of the primary wave is effectively "cancelled out" by the negative trough of the secondary wave. This creates an acoustic "short-circuit," causing the sound energy to dissipate rapidly just centimeters from the device frame.
3. Technical Validation: Simulation Results
To validate this architecture, we utilized Finite Element Analysis (FEA) in COMSOL Multiphysics, modeling the part of the AI glasses arm in an anechoic environment.
3.1 The conditions of building the simulation model
Figure 1: The simulation condition_01 (The 3D drawing includes the part of the AI glasses arm, which is only related to the speaker (output sound)

Figure 2: The device under simulation is surrounded by an air sphere, which simulates an anechoic chamber environment. To define the first reference point (user's ear) for calculating the Sound Pressure Level.

Figure 3 (zoom in): To define the first reference point (user's ear) for calculating the Sound Pressure Level.


Figure 4 & 5: The simulation condition_02 (The distances of bystanders at 1cm, 10cm, and 50cm)
Figure 6 (zoom in): To define the second and other reference points (bystanders) for calculating the Sound Pressure Level.3.2 The simulation results
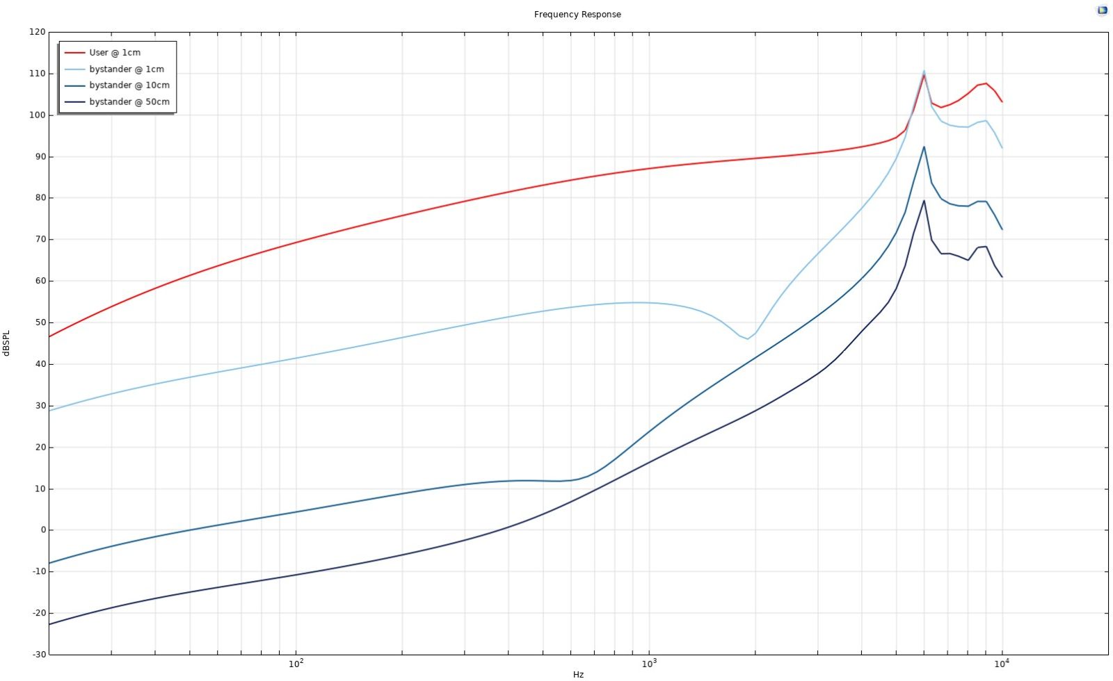
3.2.1 The acoustic decay curves (without the Secondary Port) (Standard Micro-Speaker) Figure 7
Figure 7: Comparing frequency responses (without the Secondary Port) (Standard Micro-Speaker)
3.2.2 The acoustic decay curves (with the Secondary Port) (AI Privacy Architecture) Figure 8
Figure 8: Comparing frequency responses (with the Secondary Port) (AI Privacy Architecture)
3.3 Sound Pressure Level (SPL) Mapping
The visual below demonstrates the spatial distribution of sound at 1 kHz (a critical frequency for human speech intelligibility).
Figure 9: SPL distribution at 1 kHz. Note the extreme concentration of acoustic energy (red zone) restricted to the near-field ear canal, with rapid attenuation the noise floor (blue zone) within 10cm of the device temple.
4. Performance Metrics: The Privacy Index
To quantify the success of the anti-leakage technology, we define the "Privacy Index." This is the ratio of the sound energy delivered to the target (eardrum) versus the sound energy leaked to a bystander (at 0.5 meters).Performance Comparison Table:
Metric Standard Micro-Speaker AI Privacy Architecture Improvement SPL(1KHz) @ Ear (Target) 91 dB 87 dB - SPL(1KHz) @ 0.5m (Leakage) 51 dB (Clearly Audible) 16 dB (Whisper Quiet) 35 dB Reduction Vocal Range Clarity High High - Note: The human ear perceives a 10 dB reduction as a halving of loudness. A 45 dB reduction represents a massive decrease in audible leakage.
Conclusion
By leveraging the physics of acoustic phase cancellation, we have successfully engineered an open-ear audio system that addresses the critical need for privacy in AI wearables.
The data confirms that it is possible to provide the user with clear, intelligible audio from their AI assistant without creating a "public broadcast" of sensitive data. This architecture transforms the loudspeaker from a simple audio component a secure communication transmission device, suitable for the next generation of smart eyewear.

RFQ